Contoh Soal Limit Kelas 11 Ipa
Jawab dari contoh di atas dapat disimpulkan bahwa penyelesaian limit tak hingga fungsi aljabar pecahan ditentukan oleh koefisien dari. Rumuscoid baiklah kali ini kita akan membahas materi yang sangat menarik yakin tentang bank contoh soal matematika kelas 2 sd.

Conntoh Soal Pilihan Ganda Bab Limit Fungsi Dan Jawabannya Ilmusosial Id
Haloo Sobat kami kali ini akan membahas tentang Soal IPA Kelas 11 tahun ajaran 2020-2021 sekolah menengah atas tingkat SMAMASMK semester 1 dan 2 PG dan Essay pelajaran IPA kurikulum 2019.

Contoh soal limit kelas 11 ipa. Di video ini akan dibahas review materi usbn unbk dan sbmpt. Perhatikan contoh soal limit berikut. Contoh Soal Limit Trigonometri Terbaru Kelas 11 12.
Soal Dan Jawaban Matematika Kelas 12 Smk Akuntansi Guru sd smp sma contoh soal matematika kelas xii smk akuntansi. Nah pada kesempatan. Matematika smu kelas 11 limit fungsi.
Logaritma Pengertian Rumus Sifat Contoh Soal Dan Pembahasan Zenius Nb19 Aljabar bangun ruang sisi lengkung bilangan bulat fungsi garis himpunan kelas 7 kelas 8 kelas 9 kesebangunan lurus pecahan pembahasan perbandingan persamaan segiempat. 35 Contoh Soal UTSPTS IPA Kelas 9 SMPMTs Semester Ganjil Terbaru - Adik adik dimana saja berada kali ini kakak menyediakan beberapa contoh soal yang mungkin adik adik butuhkan saat Ulangan Tengah Semester atau soal Penilaian Tengah Semester untuk dijadikan sebagai bahan latihan dirumah dan belajar kelompok bersama teman teman. Soal Dan Pembahasan Trigonometri Jumlah Dan Selisih Dua.
Reza Andrina Putri Soal Dan Pembahasan Limit Trigonometri. Substitusikan saja nilai x berikutnya dilanjutkan dengan tipe metode turunan yaitu limit x menuju angka. Penyelesaian limit fungsi aljabar menggunakan SUPER dan perkalian sekawan.
Berikut ini merupakan soal disertai pembahasannya ulangan umum matematika kelas xi semester genap tahun ajaran 2018 2019 smkn 3. Dengan menggunakan konsep limit fungsi tentukan gradien garis singgung fungsi f x3x²-2x1. Kumpulan soal matematika turunan kelas 11.
Contoh Soal Limit Trigonometri Terbaru Kelas 11 12. Limit fungsi aljabar menggunakan SUPER dan pangkat tertinggi. Contoh soal bahasa indonesia kelas 11 semester 1.
20181127 40 Contoh Soal UTS IPA Kelas 7 SMPMTs dan Kunci Jawabannya Terbaru - Halo adik adik bagaimana nih kabarnya. Contoh soal limit untuk kelas 11. Matematika smu kelas 11 limit fungsi.
Matematika smu kelas 11 limit fungsi. Tanpa basa-basi berikut soal matematika SMA kelas 11 tentang turunan. Menghitung Limit Fungsi Trigonometri.
Ilmu pengetahuan alam adalah salah satu materi yang mempelajari tentang keindahan alam dengan aspek budaya di wilayah tersebut dalam kehidupan sehari-hari. Contoh soal limit matematika kelas 11. Nilai Limit Di Tak Berhingga.
Limit fungsi aljabar merupakan materi matematika wajib yang diajarkan di kelas xi. Limit fungsi aljabar menggunakan perkalian sekawan. 20 butir contoh soal ilmu pengetahuan sosial untuk kelas george manning.
Kumpulan Soal Limit Fungsi Trigonometri. Contoh soal dan pembahasan limit fungsi aljabar kelas 11 lengkap dengan caranya. Sifat-Sifat Limit Fungsi.
Contoh soal limit kelas 11. Jika u dan v adalah fungsi dalam x dan c adalah konstanta maka berlaku. Tentukan nilai dari nah untuk menyelesaiakan permasalahan limit diatas kita harus mengganti memasukan mensubtitusikan nilai x dengan angka 3.
Dengan menggunakan konsep limit fungsi berikut gradien garis singgungnya. Contoh soal pertama limit fungsi aljabar. Berikut ini adalah rincian soal ukk pkn kelas 8 smp mts semester 2.
60 contoh soal ipa kelas 7 semester 1 2 beserta kunci jawaban diperbarui 09 jun 2020. Contoh soal ipa kelas 10 beserta jawabannya. Contoh soal limit tak hingga kelas 11.
Contoh soal limit kelas 11 semester 2. Soal Dan Pembahasan Identitas Trigonometri 1 5 Istana. 65 Contoh Soal PG Sejarah Kelas 11 IPA SMAMA dan Kunci Jawabnya Terbaru Sejarah nasional Sejarah zaman purbakala memuat bagaimana keadaan dan kemampuan masyarakat nenek moyang kita kepercayaannya serta hasil-hasil budayanya.
Soal yang kami sediakan berjumlah 65 butir dari berbagai penerbit buku semoga siswa dapat mengerti dan memahami bab ini. Contoh Soal Fungsi Limitcontoh soal fungsi limit aljabar contoh soal fungsi limit contoh soal fungsi limit tak hingga contoh soal fungsi limit dan pembahasannya contoh soal fungsi limit trigonom. Contoh Soal Limit Pembahasan Jawaban Kelas 11.
Untuk lebih jelasnya ikutilah contoh soal berikut ini. Limit Aljabar menggunakan SUPER dan perkalian sekawan. Soal Matematika Kelas 12 Beserta Kunci Jawaban By Posted on November 20 2020.
Tulis namamu di sudut kanan. Bab 0704 contoh soal limit fungsi f. Contoh soal un ipa smp mts 2019 2020 lengkap dengan kunci jawaban.

Limit Fungsi Aljabar Matematika Kelas 11 Quipper Blog

Contoh Soal Dan Pembahasan Fisika Kelas Xi Ipa Semester 2

Limit Fungsi Aljabar Matematika Kelas 11 Quipper Blog

Kumpulan Soal Limit Fungsi Trigonometri Idschool

Contoh Soal Psikotes Gambar Manusia

Materi Dan Contoh Soal Limit Fungsi Aljabar Matematika Kelas 11 Pakapri Net

Limit Fungsi Aljabar Matematika Kelas 11 Quipper Blog

Contoh Soal Limit Trigonometri Terbaru Kelas 11 12

Limit Fungsi Aljabar Matematika Kelas 11 Quipper Blog

Limit Fungsi Aljabar Matematika Kelas 11 Quipper Blog
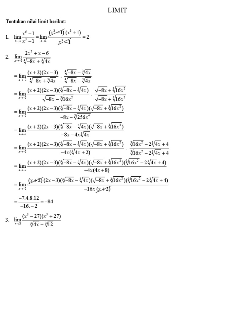
Pembahasan Soal Limit Sma Kelas 11 Ipa

Contoh Soal Limit Trigonometri Terbaru Kelas 11 12

Limit Fungsi Aljabar Matematika Kelas 11 Quipper Blog

Rangkuman Contoh Soal Limit Pembahasan Jawaban





Posting Komentar untuk "Contoh Soal Limit Kelas 11 Ipa"